Pagina web a Școlii Postliceale Sanitare Drobeta Turnu Severin

Open menu
  • Despre noi
    • Prezentarea Scolii
    • Conducerea Scolii
    • Cadre didactice
  • Informații generale
    • Structura anului Scolar
    • ROI
    • Organigrama
    • RI
    • Cod de etica
    • P A S
    • Raport de activitate
  • Legislatie
  • Administrativ
    • Secretariat
    • Contabilitate
  • Admitere
    • Oferta Educationala
    • Rezultate
  • Certificare
    • AMF
  • Proiecte
  • Contact
  1. You are here:  
  2. Home
  3. Certificare
  4. AMF

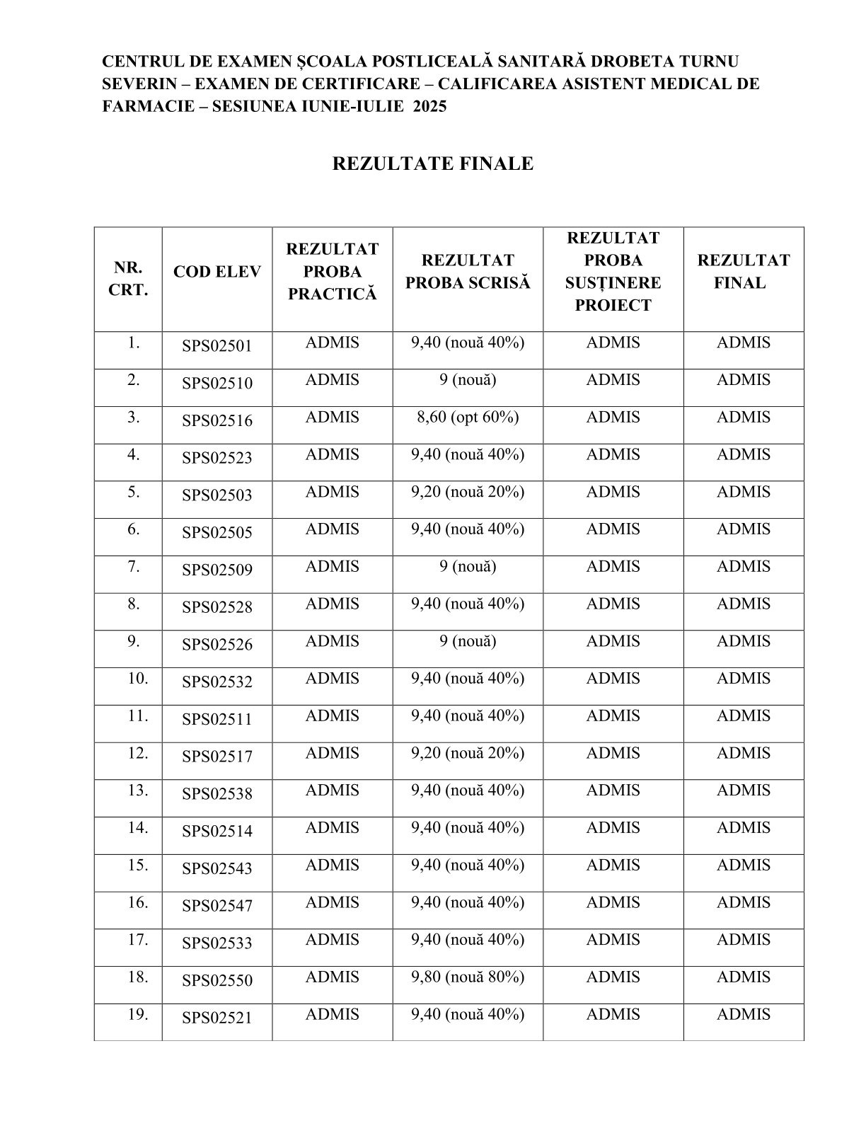
rezultate finale certificare AMF 2025

Details
Hits: 287

Căutare in articole

Cele mai noi articole

  • rezultate finale certificare AMF 2025
  • Activitate practică
  • organigramă 2020-2021
  • DigiProf - acord de asociere
  • PRO-PRACTIC - proiect cofinanțat prin Programul Educație și Ocupare 2021-2027

Link-uri utile

Ministerul Educației și Cercetării

Inspectoratul Școlar Județean Mehedinți

Conectare

Va puteti conecta pentru editare sau adaugare articole

  • Forgot your password?
  • Forgot your username?